Hat sich erledigt. ![]()
Was ist der physikalische Grund warum bei 3a die Diagonalelemente verschwinden?
@Pfadfinder: Wenn man anschreibt wie man die Diagonalelemente bildet, dann sieht man das in der Diagonale genau die Erwartungswerte des jeweiligen Operators in den Basiszuständen stehen. Also z.B. im ersten Glied der Matrix <Psi|x|Psi> steht der Erwartungswert des Ortes im Grundzustand weil da ja genau <0|x|0> drinsteht, 2.Zeile,2.Spalte: <1|x|1> also Erwartungswert des Orts im ersten angeregten Zustand usw. Beim harmonischen Oszillator ist der Erwartungswert für Ort und Impuls für alle Basiszustände 0. Siehe Quanten 1.
Zu meiner eigenen Frage von vorhin http://www.itp.phys.ethz.ch/research/condmat/vortex/lectures/qm2/QM.pdf ab seite 125 erklärt es ganz gut
Bsp2

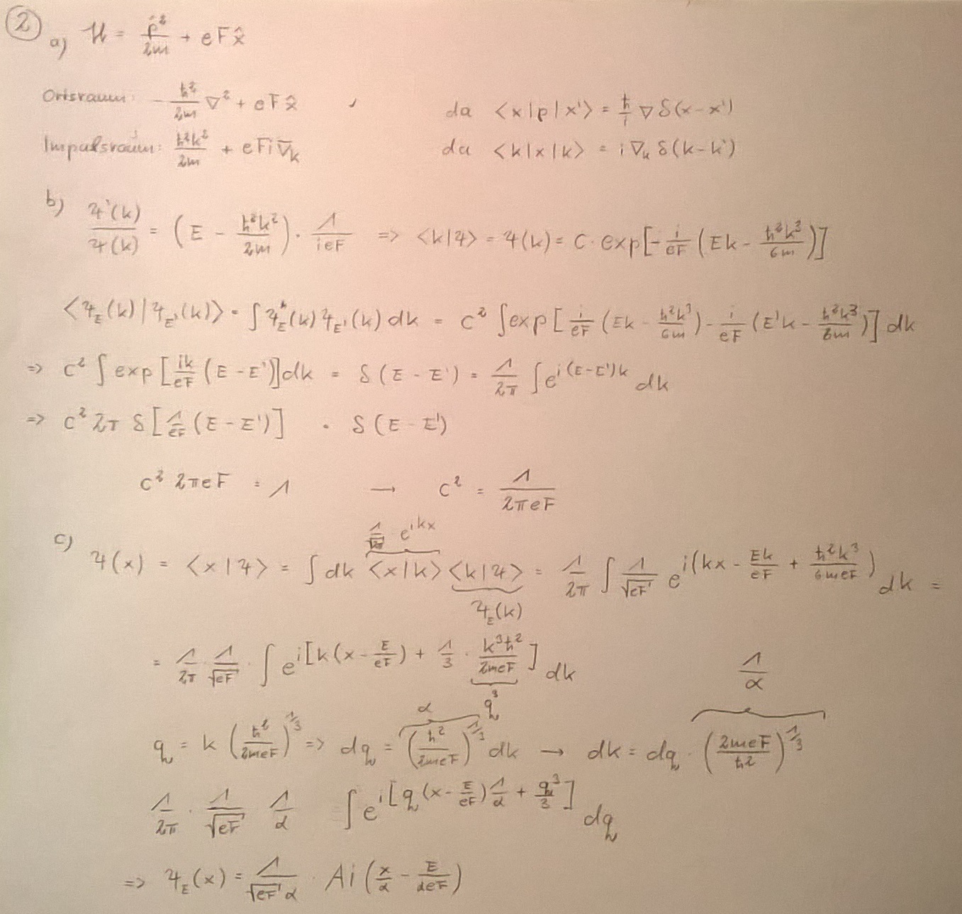
Hier mal meine Lösungen. Sollten richtig sein… müssen aber ned (vorallem 2 kommt ma a bissl zu einfach vor) ![]()
Quanten-II-UE01 .pdf (3.71 MB)