Hier mal die Angabe zum Tutorium am Freitag.
Sobald ich die Beispiele gerechnet habe kann ich sie dann auch hochladen.
Edyn Erste Übung.pdf (31.9 KB)
Hier mal die Angabe zum Tutorium am Freitag.
Sobald ich die Beispiele gerechnet habe kann ich sie dann auch hochladen.
Edyn Erste Übung.pdf (31.9 KB)
Meine gerechneten Beispiele. Viel Spaß ![]()
Edyn Übung 1.rar (3.22 MB)
Wie kommst du bei 3a auf die Grenzen für s und t (besonders die für den Parameter t sind mir nicht klar)?
![]()
Hab jetzt Bsp 2a Durchgerechnet und komm auf ein anderes ergebniss.
der Y-Term fällt mir nicht weg. Wenn ich mich nicht Täusch hast du dort einen Vorzeichen Fehler
mein ergebniss ist: 4hπ(a^2)+(h^2)(a^3)π+(16/3)(a^3)h
lg
Also ich kann die Ergebnisse von Crabman nur bestätigen! Gruß
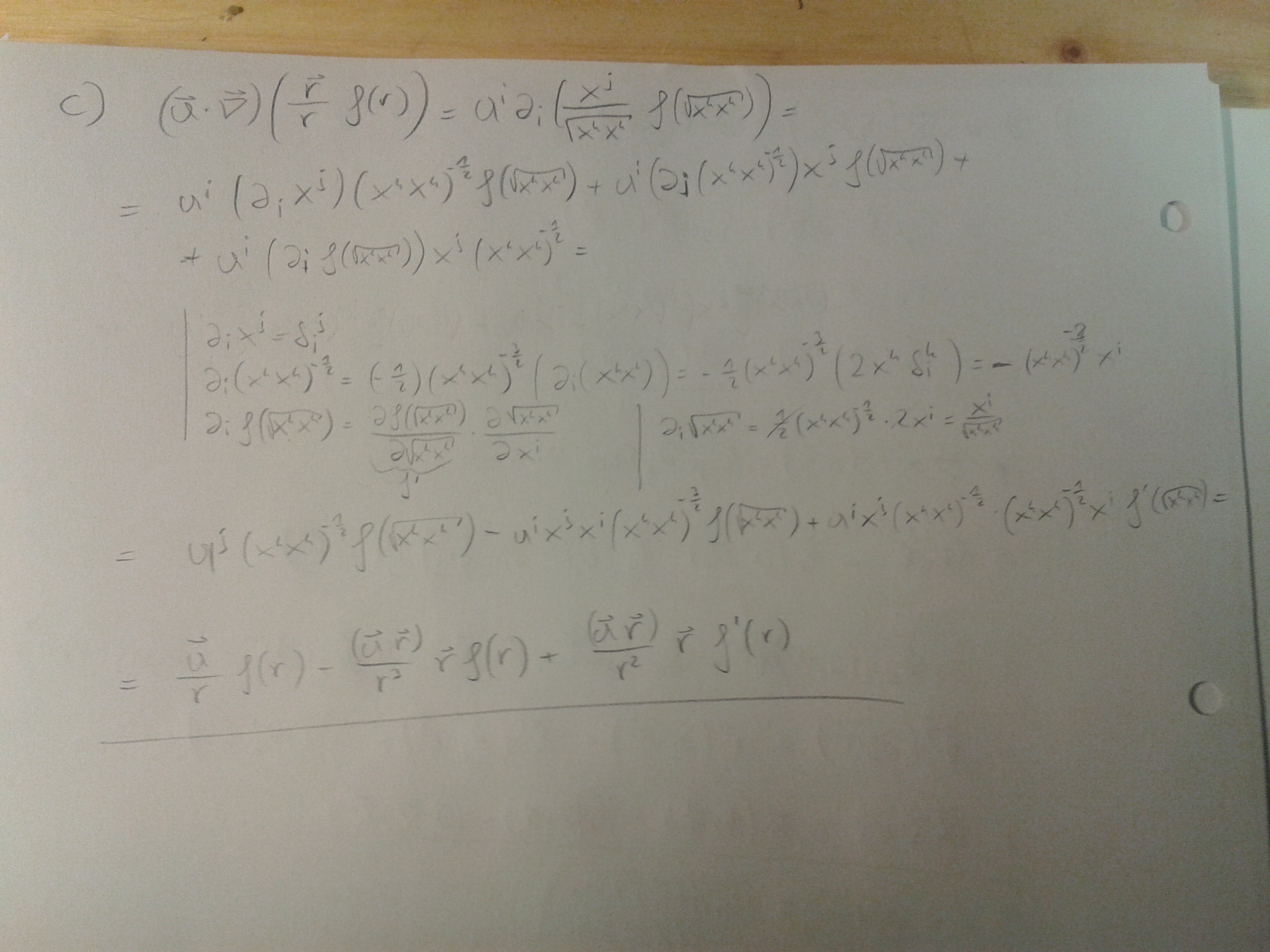
Hat jemand eine genauere Erklärung zu 1.c ?
Ich komme genau wie Crabman auf drei Terme am Schluss, aber beim dritten Term habe ich Probleme diesen richtig zu berechnen.
Wie kommt man da bitte beim letzten Schritt zum richtigen Ergebnis?
Ich hänge bei der Vereinfachung von d(rk * rk)^(1/2) / d(ri) * f(r)/d(rk * rk)^(1/2). Wie löse ich das?
hat vielleicht noch jemand das 1c) gerechnet?
bedanke mich zunächst natürlich für die bisher präsentierten lösungen, jedoch unterscheidet sich mein ergebnis ein wenig von dem was „Crabman“ gerechnet hat…
hier meine bedenken:
in der vierten zeile, wo quasi der zweite term berechnet wird, blicke ich einfach nicht durch… geht mir alles ein wenig zu schnell, ich habe da drei extra zeilen gebraucht ![]()
dort bekomme ich bereits leicht andere ergebnisse…
was die fünfte zeile soll (dritter term) entzieht sich sowieso meines wissens… bei mir wird aus df einfach f’ und der term bleibt stehen…
dies ist insofern interessant, da ich beim zweiten term, mit den ganzen inneren ableitungen, produktregeln bla bla, nochmal den selben term bekomme.
mein ergebnis: die ersten beiden terme bleiben gleich, beim dritten habe ich einen faktor „2“, unterm bruchstrich ein einfaches „r“ und ein \vec r weniger (meinetwegen das nach dem bruch)
gibt es leute mit anderen ergebnisen, bzw wär jemand so lieb und postet einen „ausführlicheren“ rechenweg ![]()
dank im voraus,
lg stani
Hier mein Versuch von 1c)

jop, hab mich vorher verrechnet, aber habe es jetzt genauso, danke nochmals
gute nacht ![]()