Hier mal die Angabe:
3.tutorium.PDF (130 KB)
Das Plenum von 2011 hatte ein ähnliches Beispiel wie unser 1).
Hier findet man das Phasenraumvolumen zu Bsp 4 (Bsp 1):
http://www.wsi.tum.de/Portals/0/Media/Lectures/20081/6c85e69d-e6fd-4c29-9eb1-62397f6e9bfa/sheet5_solution.pdf
Zum 2. Beispiel kann ich folgendes sagen:
führt die Integration über p11,p21,p31 durch (also über die Impulskomponenten des 1. Teilchens). Dann habt ihr eine Delta-Funktion „aufgebraucht“. Allerdings auch den Grad des Integrals über den Impuls um 3 verringert (M–> M-3) .
Dann könnt ihr den einfachen Weg gehen und euch die 1. Formel der „nützlichen Formeln“ auf Seite 2 ansehen. Dort findet ihr dann genau euer Integral, das übrig geblieben ist für den Impuls, wieder. Dort einfach statt „M“, „M-3“ einsetzen. Das Integral über die Ortsvariablen ist ja einfach Volumen^(M/3) der Box. Wobei in meiner Argumentation M = 3N ist und N die Anzahl der Teilchen und M somit die Anzahl der Freiheitsgrade für die Impuls- bzw. Ortskomponente ist.
Wenn man statt der nützlichen Formel das Integral über die Impulskomponenten händisch umformt und eine geeignete Variablensubstitution durchführt, sollte man erkennen, dass man eine Delta-Funktion der folgenden Form erhält: Delta( r^2 - R^2) . Und wenn man sich dieses Integral nun überlegt, erkennt man, dass dies die Oberfläche einer Kugel mit dem Radius R ist. Wenn man nun die Oberfläche einer M-Dimensionalen Kugel benützt, kommt man logischerweise auf dasselbe Ergebnis.
Beim 2er komme ich dann auf
V^N\frac{C}{\Omega(E,V,N)}\frac{(2m\pi)^{\frac{3(N-1)}{2}}}{\Gamma\left(\frac{3(N-1)}{2} \right)}\left(E-\frac{\vec{b}^2}{2m}\right)^{\frac{3(N-1)}{2}-1}
ist es da noch sinnvoll die Zustandssumme \Omega(E,V,N) des idealen Gases einzusetzen?
Denke nicht, dass das gefragt ist, denn es steht ja in der Angabe, dass man es als bekannt voraussetzen kann.
^^ Wenn man genau ist, hast du ein HeavisideTheta(E-B/2m) unterschlagen. (;
wobei B die Summe der Vektorkomponenten ist.
Zum 3. Beispiel kann ich nur eines sagen: die „nützliche Formel“ (7) ist nicht ganz so nützlich wie gedacht.
Denn ich bekomme das Richtige heraus, aber nur, wenn ich Mathematica mit meinem Integral füttere. Dieses sieht zwar dem Integral aus (7) ähnlich, aber statt dem 1er in der Integralgrenze steht ein R. Und statt dem (1-x) steht bei mir ein (R^2 - x^2). Keine Ahnung wie ich da dann die nützliche Formel anwenden soll → also rein damit in Mathematica und man bekommt ähnliche Gamma-Formeln, die aber das richtige Ergebnis liefern.
Noch ein Tipp: Versucht es nicht über das Phasenraumvolumen, sondern direkt über die Zustandssumme!!
Hat jemand das dritte und vierte Beispiel schon durchgerechnet?
Kann jemand die Beispiele hochladen und ein bissl erläutern wie man da vorgehen muss? Ich steh da total am Schlauch… ![]()
Wär echt nett! Danke schon mal im Voraus!
+1 #-o
is bei 1a) die Trajektorie die Parabel z=1/mg (E-p²/2m)? Mit den Maximalwerten ±Sqrt(2mE) für p und E/mg&0 für z?
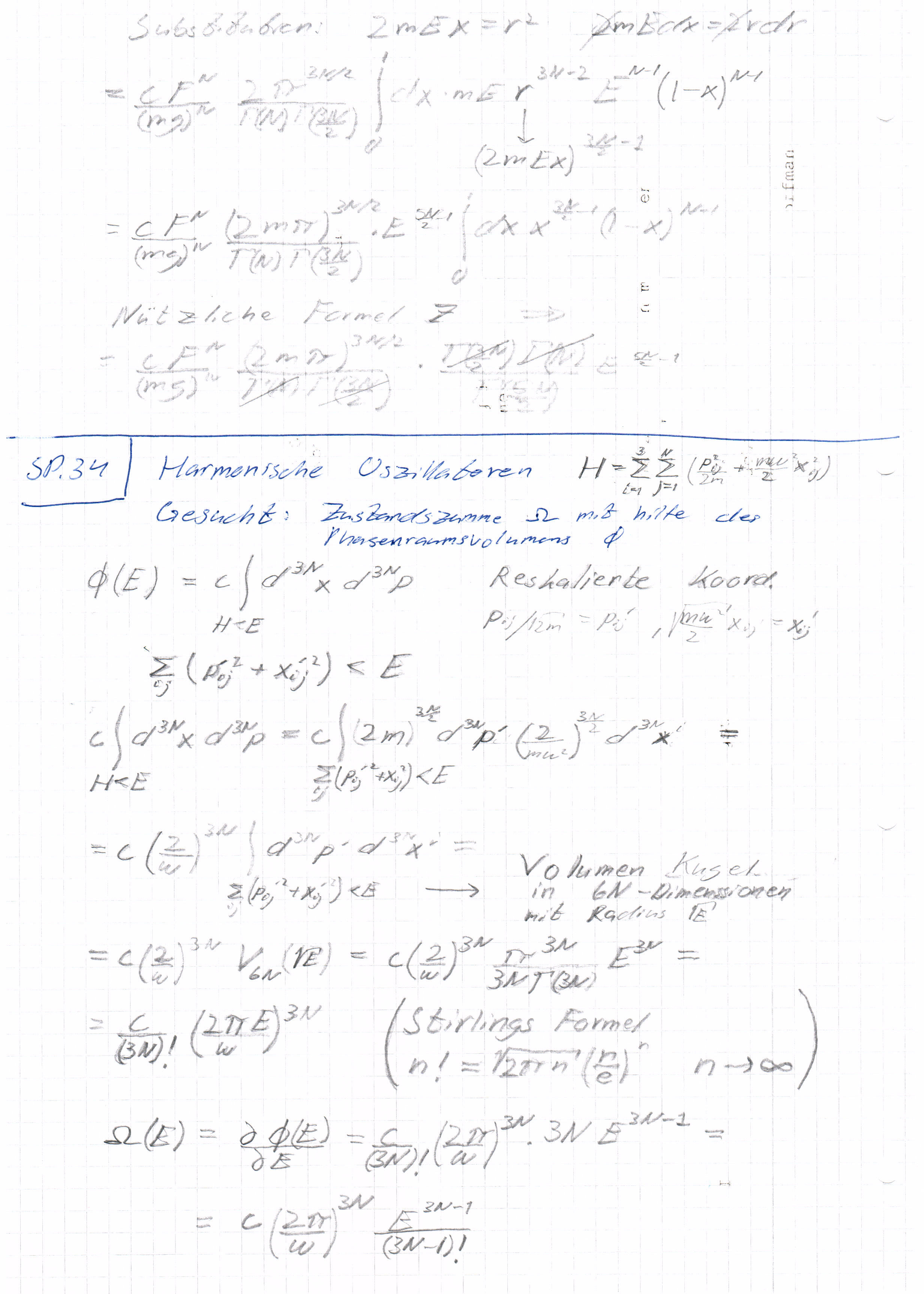
Beispiel vier von mir ![]()

hallo!
hat vielleicht jemand einen anstoß für das dritte beispiel? ich komm da überhaupt nicht weiter ![]()
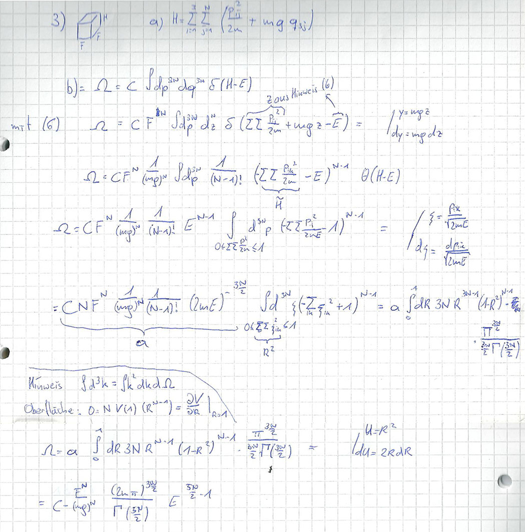
Da ich am Fr nicht im Tutorium war, habe ich das Bsp 3 leider nicht. Könnte mir jemand dieses Bsp vielleicht schicken? Danke!
Habs 3. nicht selber gerechnet, kann also nur das anbieten was auf der Tafel gestanden is. Kann Spuren von Abschreibfehlern enthalten.

Danke sehr!
Vlt hilft das wem beim Verständnis von Bsp 10
http://www.peter-junglas.de/fh/vorlesungen/thermodynamik1/html/kap3-4-6.html
Lg
Hat Jemanden das Beispiel 9) gerechnet? Ich sehe nicht wie man damit anfangen soll? ![]()