viel erfolg!
tutorium3_angabe_k.pdf (57.9 KB)
Heyho hier die Übung durchgerechnet:
Fehlen tun allerdings noch 1c, 2d+e und 3c
Es sind auch sicher ein paar (Schreib-)Fehler drinnen, aber im Prinzip müsste es stimmen^^
edit:paar sachen ausgebessert
MethodenUE3.pdf (175 KB)
also ich komm bei 2.2 c) auf die einheitsmatrix wenn ich E1 + E2 + E3 rechne
stimmt natürlich :’
außerdem fehlt dir beim ersten eigenvektor ein minus , is aber diesmal nur ein schreib fehler^^
Hallo ![]()
Hat schon iwer was für 3.1 C) ?
Multiple choice Fragen
Ich komm bei 3.1)c) auf (2^n)x.
Dazu hab ich den binomischen Lehrsatz verwendet, und die Tatsachen, dass
Exx = x
sowie
Ex^n = Ex
Und von mir gleich die nächste Frage:
Hat schon wer 3.3)c)?
Ich komm hier immer auf ein Produkt statt auf eine Summe…
ja kann ich auch bestätigen und außerdem dass die Einheitsmatrix und E_x kommutieren also der binomische Lehrsatz überhaupt gilt
nein moment E_x*x=x wusste ich nicht also das hab ich nicht verwendet ^^
so um es schön zusammenzufassen
( 1+ E_{x})^n\cdot x= x \cdot \sum_{k=0}^{n}\begin{pmatrix}
n\ k
\end{pmatrix}(E_{x})^k
E_{x} vorziehen weil(E_{x})^k immer gleich E_{x}
x \cdot (E_{x}\sum_{k=0}^{n}\begin{pmatrix}
n\ k
\end{pmatrix})=x \cdot E_{x} \cdot 2^n =x \cdot 2^n
Tschuldigt, aber was überseh ich bei meinen Rechnungen, dass bei euch bei 2c) die Einheitsmatrix rauskommt…? Bei mir is es
1 0 1
0 1 0
1 0 1
kann man nicht sagen solang wir nix von deiner rechnung wissen^^
aber ich nehme an dass du die vorzeichen bei E_{\lambda 1}=\frac{1}{2}\begin{pmatrix}
1&0 &-1 \
0& 0 & 0\
-1& 0 & 1
\end{pmatrix} vergessen hast
Wieso ist xE_x2^n = x*2^n? ![]()
weil E_x*x=x ist ^^
muss iwo im Skriptum drinnen stehen
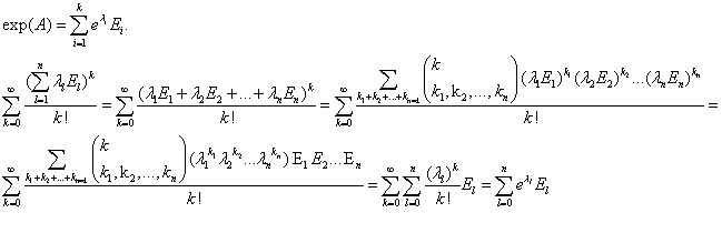
also ich hab jetzt mal einen ansatz mit dem multinominalsatz für 3.3c gemacht. ich hoff man sieht was ich gemacht hab bzw, dass die umformungen die ich gemacht habe auch möglich sind
alle angaben ohne gewähr!

Kann jemand für 2e die genaue Überprüfung posten? Ich komme mit der Formel vom Buch beim expliziten Beispiel nicht darauf.
@Kasimir:
Ah, danke, Vorzeichenfehler
Diese Huntlinge…
Heyho hier die Übung durchgerechnet:
Fehlen tun allerdings noch 1c, 2d+e und 3c
Es sind auch sicher ein paar (Schreib-)Fehler drinnen, aber im Prinzip müsste es stimmen^^
edit:paar sachen ausgebessert
Hey,
Bei 3.1 f) zeigt dein normalvektor nach innen, oder?
Das sollte ja nicht sein, eigentlich sollte er beim linienintegral immer nach außen zeigen oder?
Mein Problem ist jetzt, wenn ich den normalvektor bei beiden linienintegralen nach außen zeigen lass und die integrale in die richtige Richtung jeweils berechne, dass mir ein vorzeichenfehler überbleibt.
Sprich bei e) kommt mir -Pi/3 raus und bei f) -4-Pi/3.
Das heißt bei f) sollte ich mit einem Vorzeichen da Problem beheben können ![]()
Hat da jemand eine Idee?
Lg
dafür hat er aber bei 3f die grenzen beim integral vertauscht damits wieder stimmt