4. Übung am 16.04.210

Auf ein neues! :slight_smile:
aufgabenblatt04_ss2010g.pdf (53.4 KB)

Wie habts ihr das mit den Bildladungen gmacht? Sie gehören auf jeden Fall auf dieselbe Achse wie die Punktladung.
Ich hab 2 Bildladungen innerhalb der Kugel, und eine ausserhalb des Radius. Aber irgendwie geht sich das nicht aus…

Lösungsvorschlag zum 1.Beispiel:

a.) Magnetfeld:
\vec{B} = \frac{\mu _0 I_1}{2\pi ((x-d)^2+z^2)}\begin{pmatrix}
z\
0\
d-x
\end{pmatrix}

Vektorpotential:
A_y = \frac{-\mu _0 I_1}{4\pi}\ln((x-d)^2+z^2) + C
Die x- und z-Komponente ist 0.

b.) F_x = \mu _0 I_1 I_2 \frac{\sqrt{1-(\frac{r}{d})^2}-1}{\sqrt{1-(\frac{r}{d})^2}}
Die y- und z-Komponente ist 0.

Hat das noch wer? :slight_smile:

hab ich genau so wie du, nur dass bei b) nicht (r/d)² sondern (a/d)² steht, wird wahrscheinlich aber dasselbe gemeint sein

Ich komme auf die gleichen Ergebnisse bis auf 1b:

F_x = 4 k^2 I_1 I_2 \pi \frac{1-\sqrt{1-(\frac{a}{d})^2}}{\sqrt{1-(\frac{a}{d})^2}} , wobei k_{SI}=\frac{\mu_0}{4 \pi} bzw. k_{Gauss}=\frac{1}{c}

Der Ausdruck 1-\sqrt{1-(\frac{a}{d})^2} ist positiv solange |a| < d und damit zeigt F_x immer in die positive x-Richtung. Ich muss auch dazu sagen, dass ich den Stromfluss des zweiten Leiters im mathematisch positiven Sinn gewählt habe.

Ich komme auf die gleichen Ergebnisse bis auf 1b:

F_x = 4 k^2 I_1 I_2 \pi \frac{1-\sqrt{1-(\frac{a}{d})^2}}{\sqrt{1-(\frac{a}{d})^2}} > , wobei > k_{SI}=\frac{\mu_0}{4 \pi} > bzw. > k_{Gauss}=\frac{1}{c}

Der Ausdruck > 1-\sqrt{1-(\frac{a}{d})^2} > ist positiv solange > |a| < d > und damit zeigt > F_x > immer in die positive x-Richtung. Ich muss auch dazu sagen, dass ich den Stromfluss des zweiten Leiters im mathematisch positiven Sinn gewählt habe.

Du hast völlig recht, ich hab ein Minus auf dem Rechenwege verloren #-o
Merci, merci :wink:

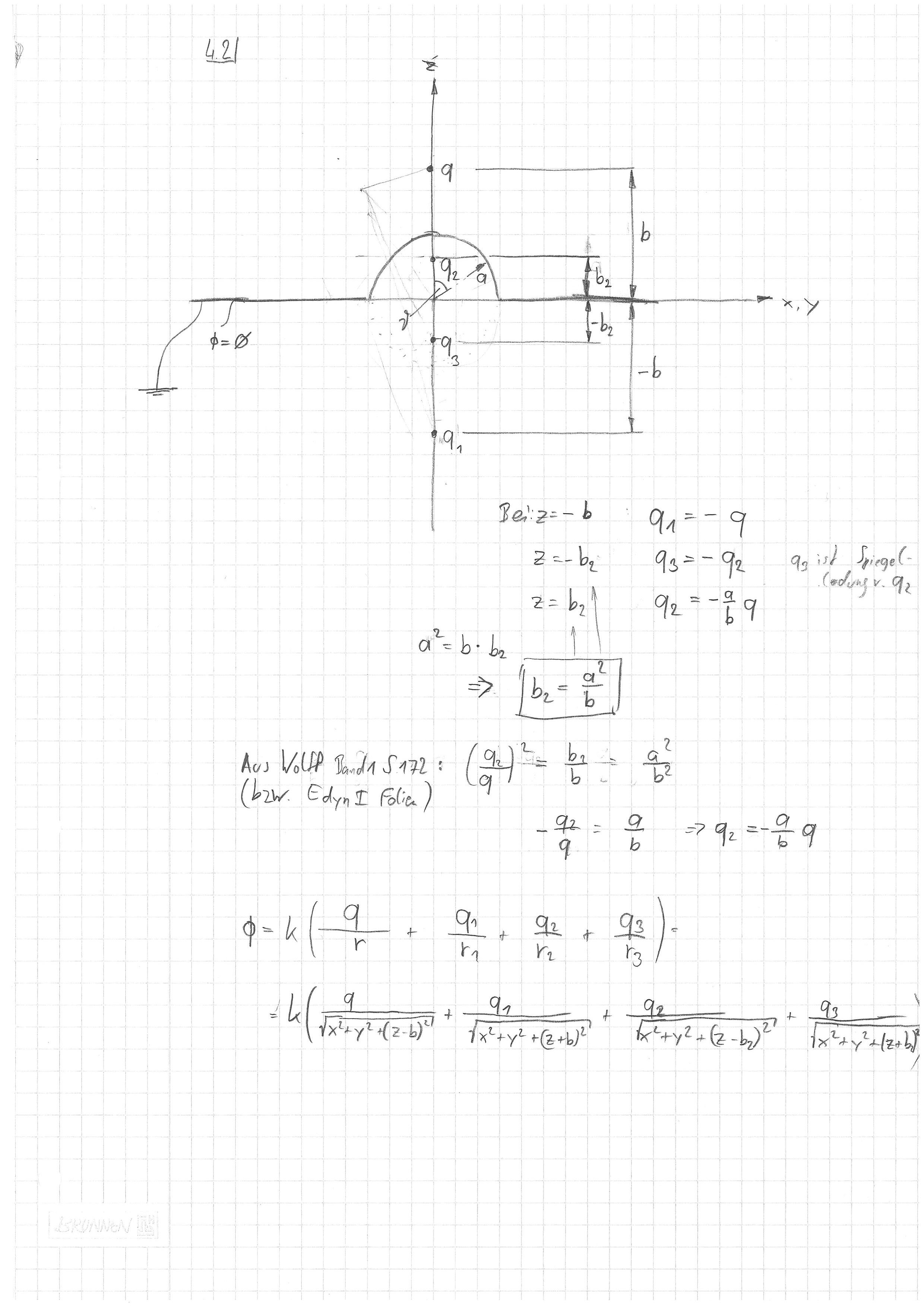
zum 2ten:

meine drei Bldladungen sitzen auf
x_1=-b,q_1=q
x_2=a-b,q_2=-q
x_3=\frac{ab}{sqrt[2(ab-a^2)]},q_3=-\frac{q}{b}*x_3

für die randbedingungen gehts sichs in jedem punkt aus.

hab jetzt aber ein problem mit der flcähenladungsdichte und dem integral davon. ich kann ja das potential nach x ableiten und das is ja 4Pi\sigma, wenn ich das potential allgemein für jeden punkt anschreib (r-xAbstand zur Ladung).
aber jetzt über die fläche von der halbkugel integrieren…
wie muss ich transformiern?

Ich kenne mich da zwar selbst auch nicht aus, aber wie bist du auf dieses Ergebnis gekommen?
Zumindest im Punkt (0,0,a), also auf der Halbkugel, ist dein Potential IMO nicht null.

sollte schon stimmen…

die erste punktladung hab ich mit (0,0,a) ermittelt \phi=0=\frac{q}{b-a}+\frac{q}{x}
und dann auf x umformen.
dann unabhängig vom ersten das zweite potential bei a,0,0 und über den vektor r zu dem punkt das zweite x bestimmt.
die dritte is ne kompensationsladung.
von allen drei ladungen die potentialle bilden und zwei unbekannte \frac{q_3}{x_3}, addieren.
jetzt hat man zwei bedingungen fürs potential. einmal für den punkt 0,0,a und a,0,0 => 2Gleichungen 2Unbekannte

Bei mir sieht der Anfang so aus:
20100414_1650091.jpg

scheint richtig zu sein.
ich hab halt die zwei vergleichsladungen direkt als q oder -q angsetzt und den abstand variiert. nur die dritte ladung is abhängig von a und b.

vom prinzip her würds passn. deins auch

lustig wirds erst bei da flächenladung und bei der integration über die halbkugel :wink:

@sieganrius: habe den gleichen Ansatz

@v3xX:
das Oberflächenintegral über sigma ist wirklich grausig, d.h. ich schaffe das nicht mal mit Maple.
Muss aber IMO auch nicht sein.
Mein Vorschlag: Anwendung des Satz von Gauß mit eingeschlossenem Volumen = Halbkugel.
Die eingeschlossene Ladung ist -\frac{a}{b}q.
Aus der Annahme, dass das E-Feld in der xy-Ebene 0 ist, folgt,
dass die influenzierte Gesamtladung auf der Halbkugel genau so groß ist.
So ähnlich wie im Greiner S. 46-48.

Was haltet ihr von der Überlegung? :question:

Ich korrigiere mich gleich selbst :smiley:
So einfach geht das nicht mit getrennt betrachten und Satz von Gauß, man muss das Integral lösen!
Hat schon wer das Ergebnis (influenzierte Gesamtladung auf der Halbkugel) und könnte es ins Forum stellen? :sunglasses: → Danke

Könnte mal wer seine Lösungen (nicht nur die Ergebnisse) online stellen? Würde mir sehr helfen.

mfg Maximus