Hier mal die Angabe:
5.tutorium.pdf (101 KB)
hier mal beispiel 1,3 und 4… hat jemand bsp 2?




bei bsp 1/b: wo S berechnet wird hab ich die klammer nachm logarithmus vergessen. also das +1 ist nicht mehr im ln!
wie komm ich beim 4. auf die Identität \left \langle H^{2} \right \rangle - \left \langle H \right \rangle ^{2} =\left \langle (H-\left \langle H \right \rangle) \right \rangle^{2} ?
ich steh da grad auf der Leitung…
Du hast das Quadrat falsch gesetzt!!!
< (H - )²> = < H² - 2 H + ² > = <H²> - 2 + ² = <H²> - ²
Wobei klar ist, dass gilt: < > =
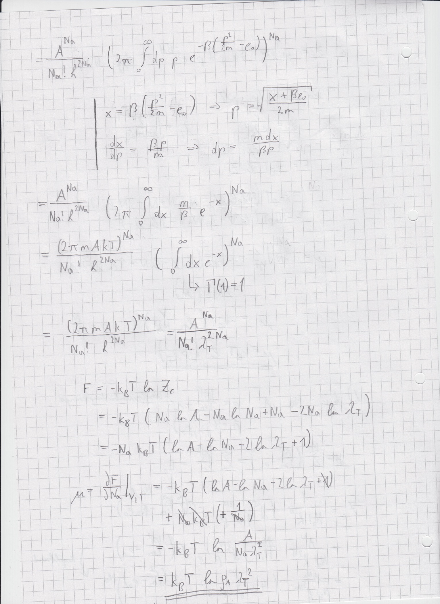
Odri, warum lässt du bei Beispiel 1) die Summe in der Hamiltonfunktion nur bis N gehen und nicht bis 3N?
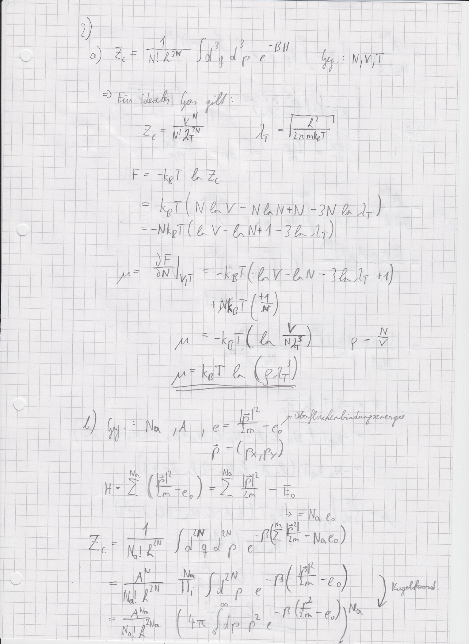
Beispiel 2)a) sollt man denk ich einfach dF/dN ausrechnen, damit man µ kriegt und F ist halt wie vorher F= -kTlnZ
das kanonische Z fürs ideale Gas wurde in der Vo gerechnet
Ah! Danke Phoenix!
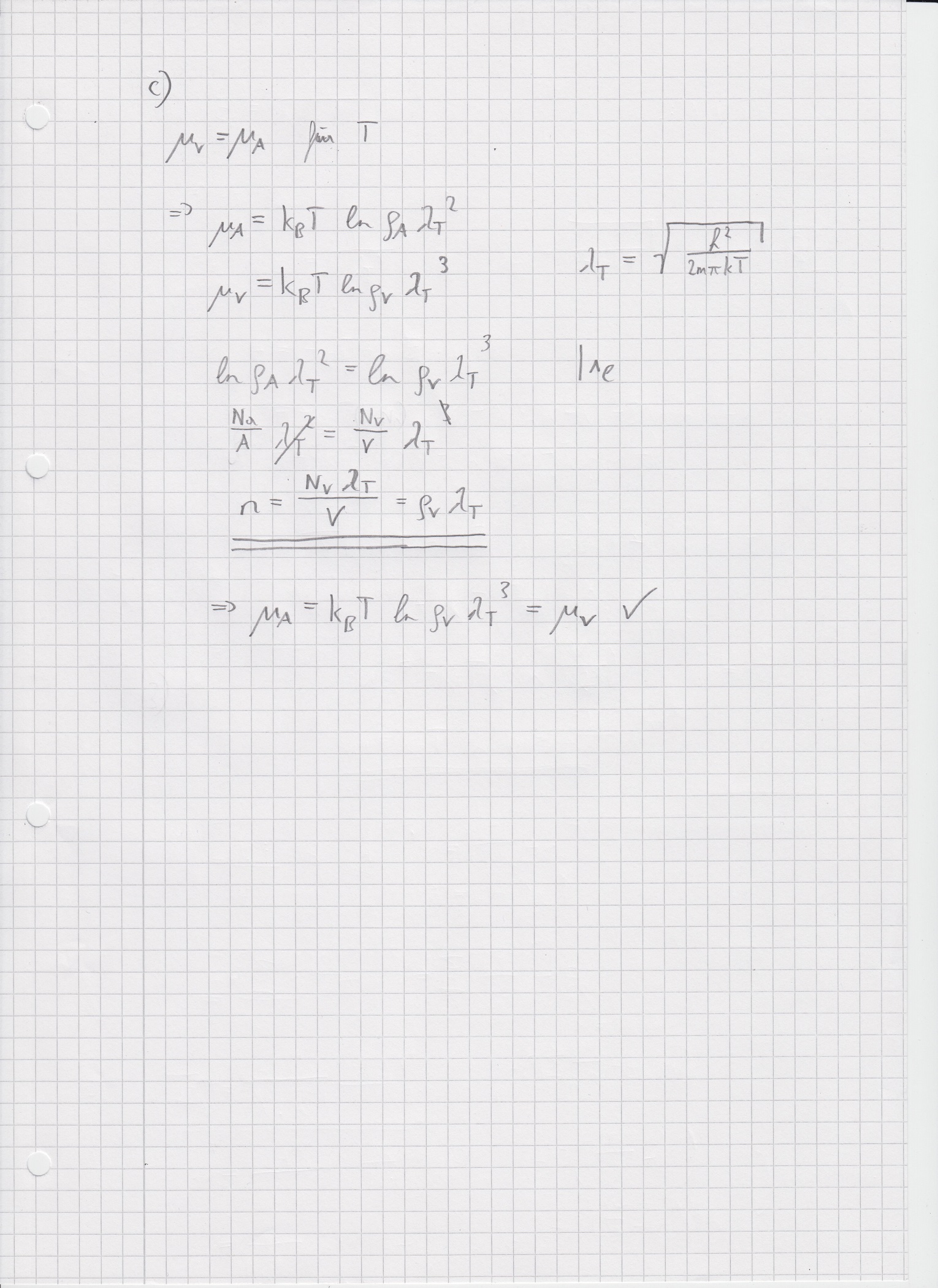
spricht etwas dagegen sich µ in 2 a.) über auszurechnen ? Ist um einiges kürzer als über F
E= -d/dß ln(Z) = 3N/2ß → dE/dN=µ= 3/2 * kT
@Xyn.chez:
die Summe geht nur bis N weil ich ja über den Betrag der Impulse summiere und nicht über die einzelnen komponenten! p_i ist ja außerdem ein vektor mit 3 komponenten
hm, weiß nicht, mir kommt allerdings was andres raus: (mit dF/dN = µ)
µ=-kT ln (V/(Nλ^3))
ah, danke, das sollt ich echt nicht übersehn ![]()
Hi odri,
kannst du (oder jemand) mir sagen warum bei deinem 3.bsp in der Hamiltonfunktion die Summe im Term für E_{\mathrm{pot}} nur bis N geht? Wir sind doch im R^3 oder?
Es geht nur bis N weil, im Schwerefeld nur die z komponente relevant ist, also nur eine Raumrichtung
warum geht beim1 das produkt nur bis N und nicht bis 3N so wie in den Folien und das mit den kugelkoordinaten versteh ich auch nicht so ganz von wo kommt das p^2
nur bis N weil wir kein p(i)^2 haben sondern ein betrag von p(i) (<- da steckt schon mein x,y,z drinnen) und daher geht es eben nur bis N
die kugelkoordinaten haben den sinn dass wir aus betrag von p einen „radius“ p machen (satz von pythagoras)
und das 4pip^2 ist die oberfläche meiner 3D-kugel (<- hoch N das ganze…)
(danke odri)
danke schön
So, ich hab das 2. Bspl., glaub ich



Ich glaube du hast beim Ergebnis von b ein Quadrat zu viel im Ergebnis.
frage zu bsp2b: wie ist mein E0 von der integrationsvariable p abhänig? (wieso) kann ich das nicht aus dem integral ziehen?
noch was zu beispiel 2: warum eigentlich kugelkoordinaten, es ist ja nur 2-dimensional, müsste man nicht polarkoordinaten nehmen?