Das vorletzte vorweinachtliche Tutorium hat begonnen ![]()
Hmm ist diesmal anscheinend ziemlich einfach gewesen ![]()
Hier mal meine vorläufigen Lösungen zum Vergleichen:
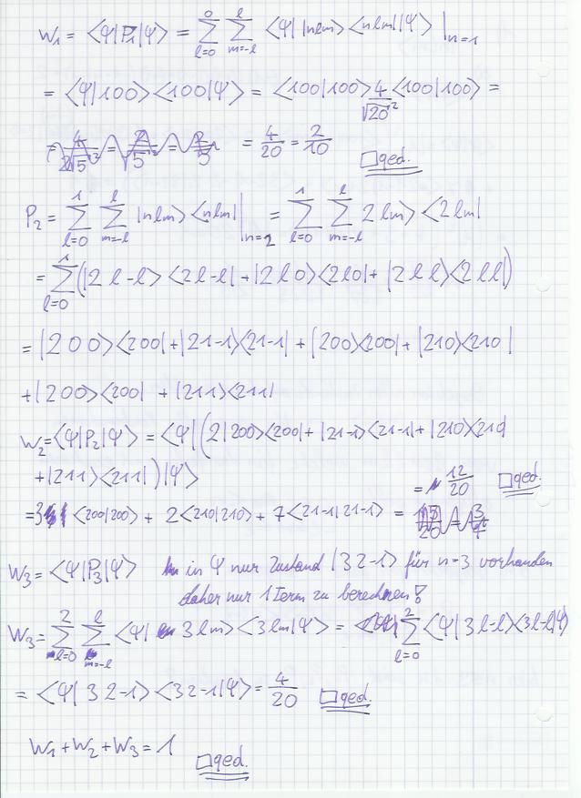
1a) Normierung: A=\frac{1}{\sqrt{20}}
W(E_n)=0,\ n>3 (kommt nicht in Psi vor)
W(E_1)=1/5,\ W(E_2)=3/5,\ W(E_3)=1/5,\
W(E_1 \vee E_2)=4/5
_\psi=E_1W(E_1) + E_2W(E_2) + E_3W(E_3) = \frac{1}{5}(E_1 + 3 E_2 + E_3)=-\frac{ \hbar^2}{2 m a_0^2 5}(1 + \frac{3}{4} + \frac{1}{9})=-\frac{23 \hbar^2}{120 m a_0^2}
1b)
W(b_l)=0,\ l>2 (kommt nicht in Psi vor)
W(b_0)=7/20,\ W(b_1)=9/20,\ W(b_2)=4/20
z-Komponente:
W(m=-1)=11/20,\ W(m=0)=9/20
<L_z>=0.W(m=0) + -\hbar W(m=-1)=-\hbar\frac{11}{20}
1c)
W({n=2, l=1})=W(n=2).W(l=1|n=2)=\frac{3}{5}.\frac{4}{7}=\frac{12}{35}, wobei W(l=1|n=2) die bedingte Wahrscheinlichkeit von l=1 unter n=2 (d.h. W(l=1) wenn n bereits 2 ist)
Ergebnis hängt nicht von Reihenfolge der Messungen ab, da [E,L^2]=0
Für t>t0 ändern sich die Ergebnisse nicht, da der Zeitentwicklungsoperator U einfach eine komplexe Phase zu den EF hinzufügt - fällt weg bei ermittlung der Observablen.
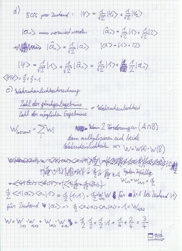
2a)
|a_1>=|1> + |2>,\ |a_2>=-|1> + |2> … nicht normiert, da für spätere Rechnung einfacher
2b) \alpha= \frac{1}{\sqrt 5}\
<1|a_1>=<1|(|1> + |2>)=1
2c) W_A(\lambda=1)=\frac{9}{10}
2d) Ich fasse das so auf, dass sich ein zufällig herausgegriffenes System entweder im Zustand |1> od. |a1> (keine Superposition) befindet, und die Wahrscheinlichkeit jeweiliges zu ziehen 50% ist.
2e)W_A(\lambda=1)=W(\psi=|a1>).W(\lambda=1|\ |a1>) + W(\psi=|1>).W(\lambda=1|\ |1>)=\frac{1}{2}(1 + 1/2)=\frac{3}{4}
tut2009_9.pdf (57.5 KB)








