Ich weiß nicht obs noch wem so geht wie mir, aber ich kann zu keiner der beiden Edyn-Fragestunden kommen. Deshalb wär mir (und wahrscheinlich auch einigen anderen) sehr geholfen, wenn wer so lieb sein könnt und bitte nach der Fragestunde seine Mitschrift hochladen würd. ![]()
Konnte auch nicht in die Fragestunden gehen. Mitschrift wäre super aber einfach nur Infos was ungefähr besprochen würde wären auch super! Worauf könnten sich eurer Meinung nach die Theoriefragen beziehen?
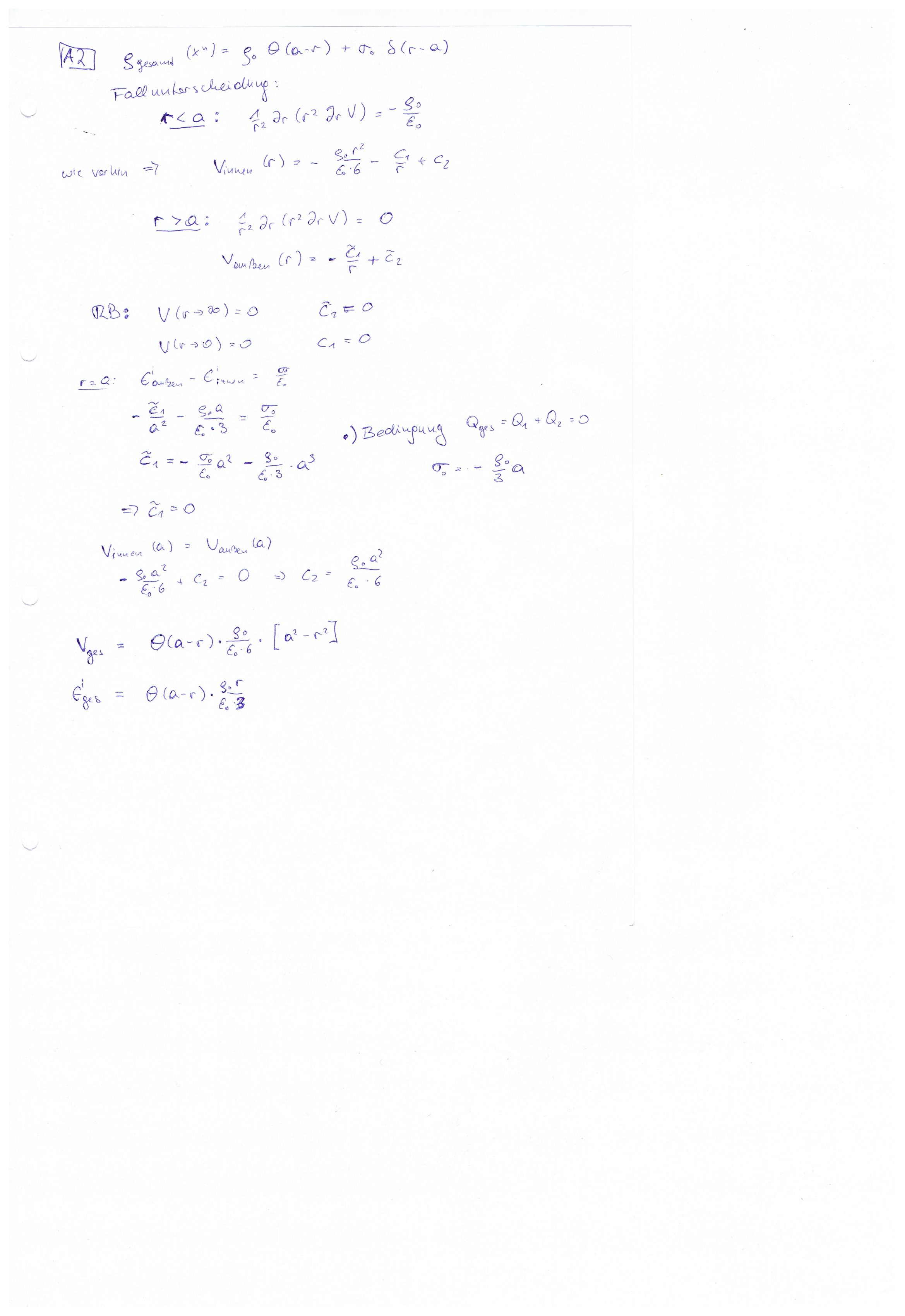
Hier ist die Mitschrift der heutigen Fragestunde. Hoffe sie hilft.





die eine Seite hat noch gefehlt…

will jetzt nicht extra einen neuen thread machen.
laut testmodus darf „eine gedruckte
mathematische Formelsammlung nach freier Wahl“ verwendet werden.
ist damit jetzt ein buch gemeint oder bedruckte zettel?
Danke! ![]()
Ist beides erlaubt solange das Buch nur eine Formelsammlung ist. Also ein Buch in dem alles genau erklärt ist, ist z.B. nicht erlaubt. Ich glaube aber sowieso, dass das nichts bringen würde weil einem die Zeit fehlt das alles erst während des Tests zu lernen ![]()
@panama:
Danke für die Mitschrift… aber Seite 002 und 003 sind irgendwie ident
da hast du dich vielleicht beim Einscannen vertan.
Nocheinmal, obwohl es in allen Fragestunden, der Vorlesung UND im Plenum schon gesagt wurde:
MATHEMATISCHE formelsammlungen sind erlaubt, dass sind aber gedruckte heftchen/bücher etc.
Nichts selber geschriebenes, keine bedruckten Zettel oder sonst was. Auch keine physikalischen Formeln oder Bücher über Elektrodynamik - e klar.
Außerdem wird man vermutlich sowieso keine brauchen.
Außerdem zählt der Bronstein als Formelsammlung …
Find ich ja gut dass du versuchst das klarzustellen, aber ein wenig muss ich dich schon korregieren.
Laut Balasin sind bedruckte Zettel erlaubt solange folgende Kriterien zutreffen:
- keine losen Zettel → zusammengeheftet!
- wie schon erwähnt keine Formeln der Elektrodynamik (und/oder -statik)
- keine handschriftlichen Ergänzungen
Falls man glaubt man braucht nur 1 Seite als Formelsammlung ist dies auch erlaubt solange die beschriebenen Kriterien eingehalten werden!
Ich hoffe ich hab jez nix vergessen, wär ja peinlich wenn ich meckere und dann selber nen Blödsinn verzapf ![]()
Da hat aber die Knapp was anderes gesagt. Eben das selbstausgedruckte Zettel nicht gehen, nur gekaufte Formelsammlungen. Wobei sie auch gesagt hat, dass sie eigentlich generell Formelsammlungen nicht gerne sieht!
Also sind sich die Vortragenden auch nicht einig ![]()
Also sind sich die Vortragenden auch nicht einig
Sich darüber abzusprechen scheint unglaublich schwer zu sein ![]()
Hat Balasin oder Knapp gesagt, wann die Ergebnisse kommen?
Hab nach dem Test mit einem Tutor gesprochen und der meinte nur, dass Balasin und Knapp alles selbst verbessern und nix die Tutoren. Wird also wohl ein wenig dauern.
kann aus therapiegründen zu keiner fragestunde für den 2ten test kommen. wenns soweit ist … könnte jmd ne mitschrift hochladen? wäre awesome. danke schonmal!