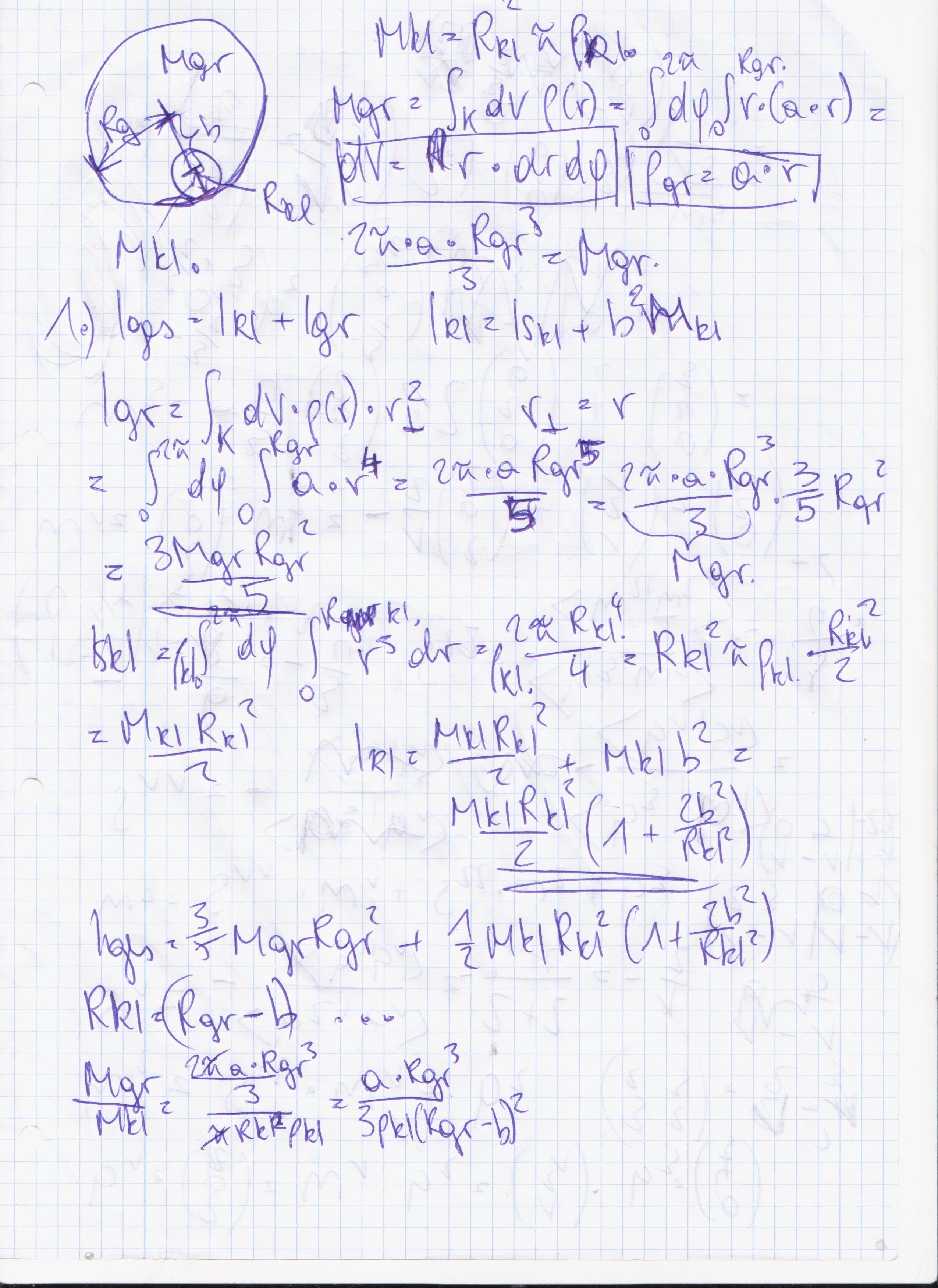
Hab hier ein Bsp gefunden, das gut zu dem nächsten Test passt,(BSP 1)
hab auch ne Lösung von mir angehängt, wär leiwand wenn jmd Fehler findet, bzw die Lösung bestätigen kann.
lg jakob
(Bsp Test 001 ist die Datei mit der Angabe)



hi jakob,
Warum kommst du bei 1) auf
I=\frac{3\cdot M\cdot R^2}{5}
und nicht wie normal auch einfach auf
I=\frac{M\cdot R^2}{2}
Nur weil sich das Rho mit dem radius ändert heist das doch nicht dass sich das I-Integral ändert, oder? Natürlich muss mann dann halt entsprechend das Rho einsetzen!
im [rho] versteckt sich eine Veränderliche welche beim Integrieren nicht außer Acht gelassen werden darf und somit das Ergebnis des Integrals beeinflusst.