Ich nutze die Zeit die ich am Zug warte mal für einen Post.
Sind nicht alle und unvollständige Ausführungen, was ich gerade so da hab.


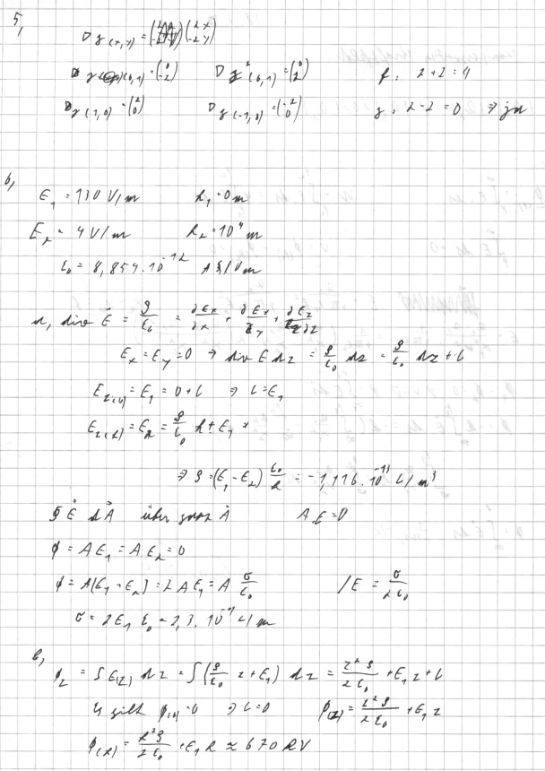
hey, danke für den upload. @ bsp 6b kommt doch aber mit deiner formel (die so stimmen dürfte) ca. 630*10^6 raus oder? (wenn man für h 10000 einsetzt und für E1 die 4V/m)
EDIT: sorry, ich bin zu blöd…passt perfekt…
Hier mein BSP 3 (leider nur die Feldstärke, auf das Potantial komm ich irgendwie nicht, wisst ihr vielleicht wie?)
