Hier ist einmal die Angabe zur 2. Übung.
SP2_SS2016_Tutorium2.pdf (132 KB)
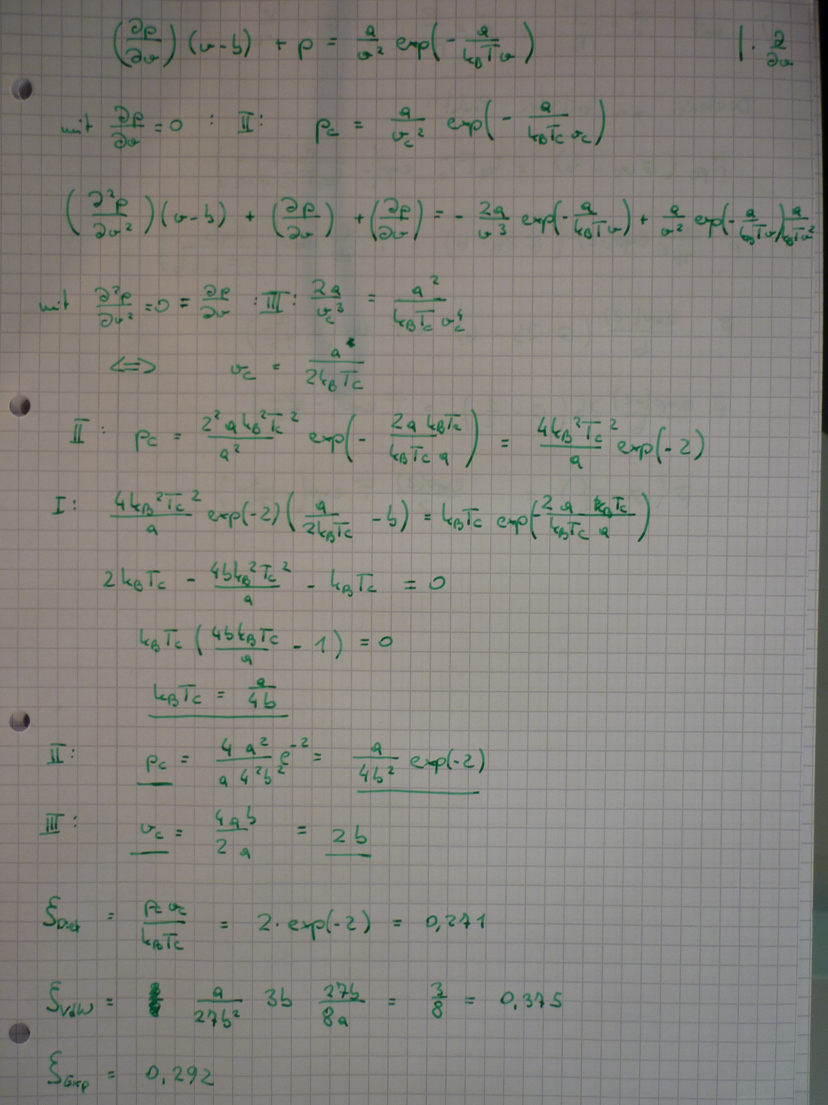
Ich hab mal Bsp 4 gerechnet und das 5er angefangen.





Hat wer schon den Rest gerechnet?


PhasenübergangBsp4.txt (1.5 KB)
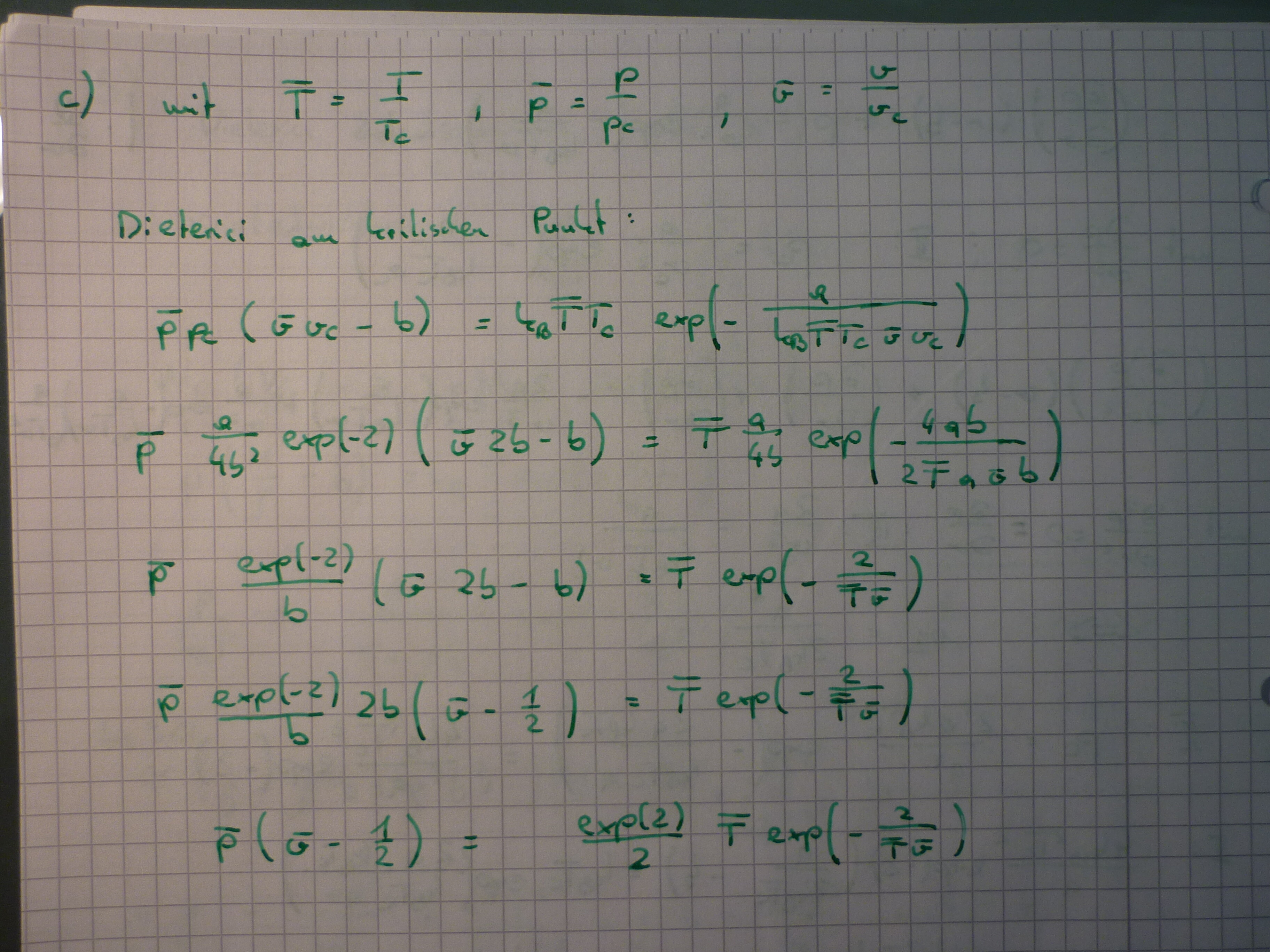
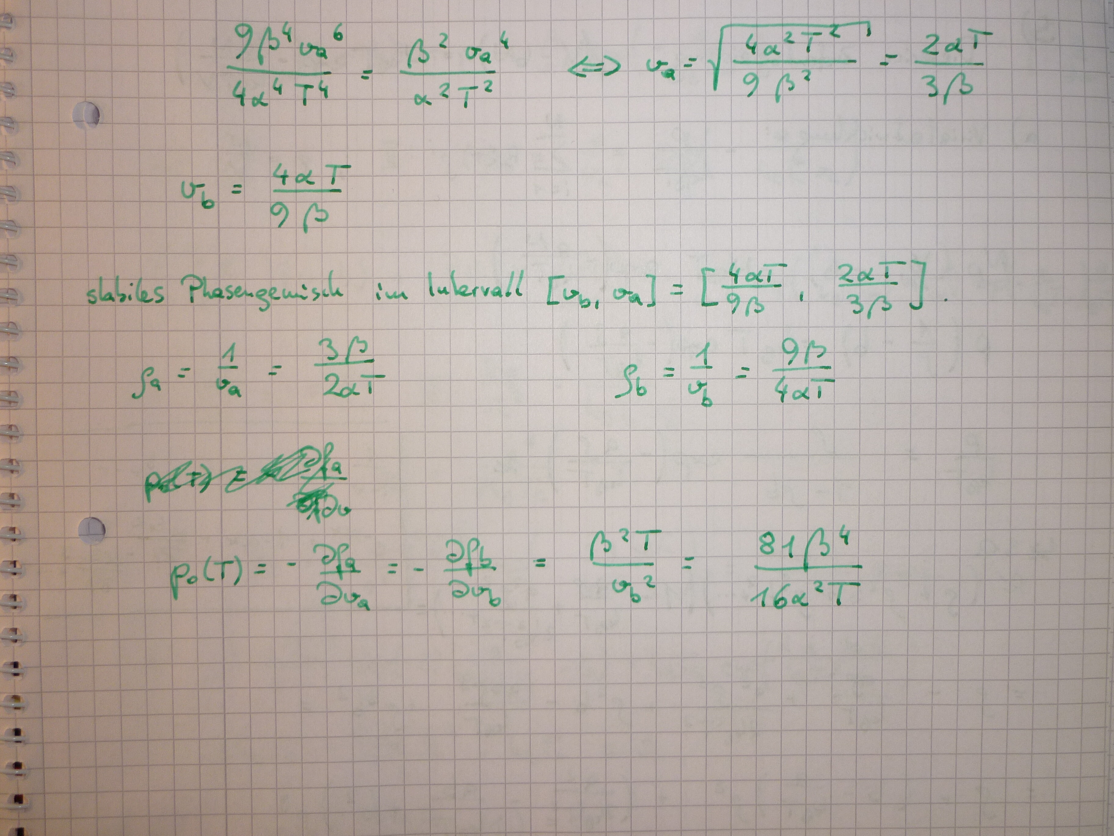
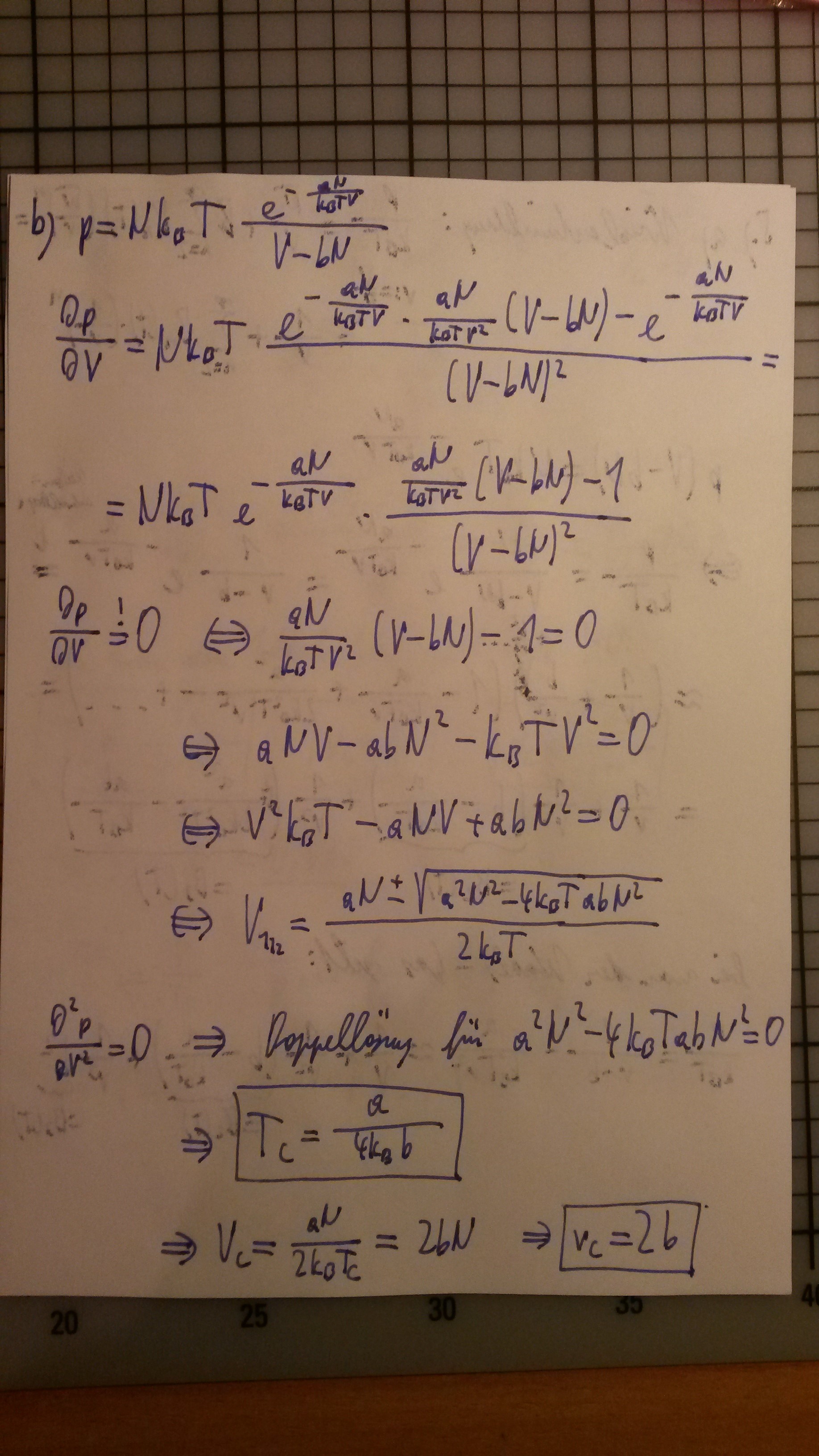
Hier ist 5b)-e) von mir!





Hier ist einmal die Angabe zur 2. Übung.
SP2_SS2016_Tutorium2.pdf (132 KB)
Ich hab mal Bsp 4 gerechnet und das 5er angefangen.





Hat wer schon den Rest gerechnet?


PhasenübergangBsp4.txt (1.5 KB)
Hier ist 5b)-e) von mir!




