Hallo Leute!
Ich werde im laufe des Tages ein paar Beispiele von mir hochstellen, würde mich natürlich auch auf Lösungsansätze von euch freuen ![]()
Angabe:
tutorium3_angabe.pdf (121 KB)
Hier mal mein Versuch von Bsp.2

ich erbitte um Senf-Zugabe
Sieht gut aus, hab ich auch so gemacht!
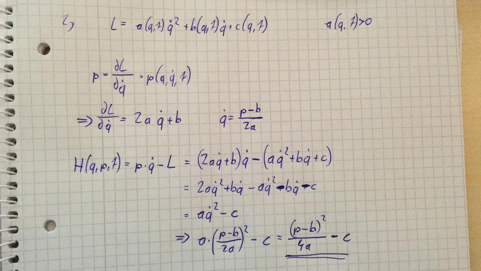
Was ist deine Idee für 2c? (Legendretrafo bei L ~ q’^3)
Ich habe mir das so gedacht, dass p = dL/dq’ ~ q’^2 dann nur bereichsweise monoton ist (zweite Ableitung nicht >0 oder <0 für alle q’) und man daher keine eindeutige Legendretrafo bestimmen kann.
(wenn man dL/dq’=p nach q’ auflösen will kriegt man zwei Lösungen q’=±sqrt() also wäre die Legendretrafo nicht eindeutig)
ja hab ich mir auch so gedacht, wegen den 2 Lösungen von der Wurzel!
hat noch wer beispielanätze? wäre euch sehr dankbar
Hier mein Bsp 4.
in a) habe ich die ganzen Integrationskonstanten aus den partiellen Integralen in eine Konstante zusammengefasst… (sowieso irrelevant weil sie in den Lagrangians rausfällt).
Bei Bsp3 ists eigentlich nur stur ableiten und einsetzen. Fürs Verständnis hilft es bei 3c) wenn man das physikalische System so erklärt:
(bin mir nicht 100% sicher ob es stimmt, bin aber optimistisch)
Der Lagrangian entspricht in diesem Fall nicht der Gesamtenergie des Teilchen+Feld, sondern der kinetischen Energie + einem Term vom generalisierten (geschwindigkeitsabhängigen) Potential… Das gen. Potential entspricht nicht der potentiellen Energie des Teilchens. (Klar weil in Bsp. 4 sehen wir das die Lagrangefunktion sich um eine beliebige Zeitableitung einer Funktion unterscheiden kann und weiter das gleiche System beschreibt… 2. Term kann nicht die potentielle Energie beschreiben).
Man kommt darauf, dass das gen. Potential durch den magnetischen Anteil der Lorentzkraft „entsteht“. (in unserem Fall Bfeld in z Richtung) Die Lorentzkraft steht immer im rechten Winkel auf die Geschwindigkeit, also wird keine Arbeit (Potential) geleistet. => Die Gesamtenergie des Teilchens besteht nur aus der Konstanten Ekin.
Da die Lorentzkraft nicht konservativ ist, ist das ganze System (Teilchen + Feld) nicht konservativ in dem Sinne, dass es eine konstante Gesamtenergie gäbe die zu jedem Zeitpunkt Summe aus kinetischer und einer potentieller Energie ist.
Aber das Teilchen allein als geschlossenes System (ohne Feld) ist schon konservativ, da es eine zeitlich konstante kinetische Energie und keine potentielle Energie hat.
Wenn man zu lang darüber nachdenkt weiß man weniger als vorher, hier dürfte die Definition von System und Gesamtenergie nicht einheitlich sein… Im Nolting wird an mehreren Stellen das geladene Teilchen im EM Feld behandelt, man kommt sogar darauf, dass der Hamiltonian in anderen Koordinaten ein Harm. Oszi ist ![]()
Tut3_Bsp4.pdf (1.35 MB)
Vielen Dank für diese ausfürhliche Erklärung!!
Bei 3a) (worin unterscheiden sich diese von mechanischen Impuls), ist es einfach das -QBy/2 bei Px und das QBx/2 bei Py? oder gibts da noch was tiefgründigeres ![]()
und bei 3b) ist der Impuls nicht immer eine Erhaltungsgröße?
Ja durch diese Beiträge unterscheiden sie sich vom mechanischen Impuls… das sind eben Beiträge des Vektorpotentials…
Wenn du Q(r’ * A) = QB/2 * (xy’-yx’) (Das ist der Vektorpotentialterm)
Im Lagrangian anschreibst und die generalisierten Impulse ausrechnest wirst du sehen, dass
der zusätzliche Term -QBy/2
p_x=p_mech + q*A_x … der x-Komponente des Vektorpotentials entspricht.
3b) Ich würde behaupten, dass der generalisierte Impuls keine Erhaltungsgröße ist weil der Lagrangian nach den Koordinaten x, y abgeleitet nicht = 0 ist…sprich x und y keine zyklischen Variablen sind.
Man muss hier aber vorsichtig sein mit „Erhaltungsgröße“, Erhaltungsgröße meint hier m.M.n. dass die Lagrangefunktion invariant gegenüber einer Verschiebung(Transformation der Koords) in x oder y ist.
Und das ist der Lagrangian nicht weil er explizit von x,y abhängt.
(und zeitlich invariant sind sie auch nicht, siehst du wenn du die BWGLS aus der Eulerlagrange GL aufstellst, dass sich die gen. Impulse zeitlich ändern)
Ergibt auch Sinn, weil das System um x,y nicht Symmetrisch ist…
Wohingegen in 3d) sieht man, dass phi eine zyklische Koordinate ist, => p_phi ist invariant (erhalten) gegenüber Änderungen in phi
Aber ich verspreche nicht, dass die Erklärung stimmt xD
Is jemand noch so lieb und lädt 3d oder 1 hoch?
Ich peil das mit den Koordinatentransformationen nicht ![]()
Hier ne Skizze für 3d… Variante 2 ist in allgemeiner Vektorschreibweise, das ist bündiger…der Nachteil ist, dass man dazu das Vektorpotential bestimmen muss und das ist ein bisschen overkill…
Variante 1 ist simpel Koordinaten nach der Kettenregel ableiten und in den Lagrangian einsetzen und sin^2+cos^2=1 verwenden

Vielen lieben Dank!
(Hab das eeetwas verkompliziert gehabt
)
Hi, ich habe hier mal bsp 1 gerechnet. Ich hoffe das stimmt so…

