Übung die 3!

Nein, das 1/2 gehört für die Minimas weg. Siehe 10.45 Demtröder II

I(\theta )=I_{0}, \frac{sin^2(x)}{sin^2(x/N)}

mit x:

x=\pi , \frac{b}{\lambda}, sin(\theta )

Damit x Null wird, muss Theta ein ganzzahliges Vielfache von Wellenlänge durch Spaltbreite sein.

edit: ich weiß, dann steht eigentlich 0/0, aber es steht auch wörtlich im Text, dass ein Minima für Sinus von Theta gleich Wellenlänge durch Breite auftritt.

bei mir kommt jetzt auch das raus:
T=\frac{1}{5+4sin(2kL)}

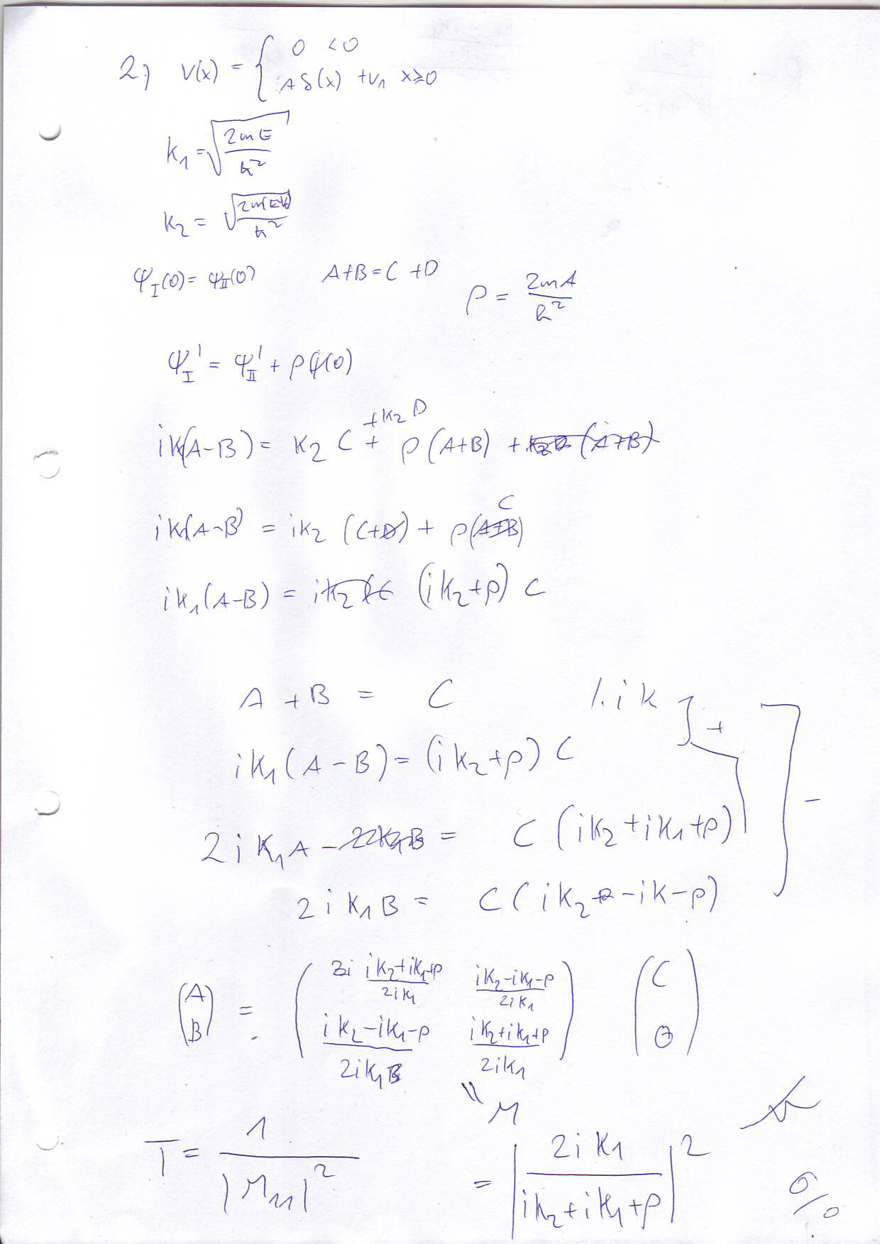
ich habe jetzt versucht bsp2 mit eine matirx zu lösen.
anbei das produkt.
funktioniert das überhaupt so? ist das auch die richtige richtung für bsp3?

lg dio
bsp2.jpg

Die spielen nur bei der Sprungbedingung (Übergang der Ableitung) eine Rolle. Du löst die Schrödingergleichung für die Bereiche ohne Delta Funktion und machst einfach die Übergänge ganz normal. Du bekommst dort zwar ein Psi(0) stehend, aber das löst sich ganz einfach von selber auf weil:
An dieser Stelle könntest du die Gleichung theoretisch auch lösen, aber dort gibt es nur einen Punkt dh ist die „Lösungsfunktion“ dort eine Konstante, und durch die Stetigkeit der Wellenfunktion hast du für diese eine Konstante sofort einen Ausdruck mit den Konstanten aus dem nicht-deltabereich. Der Rest ist Formel spielerei.