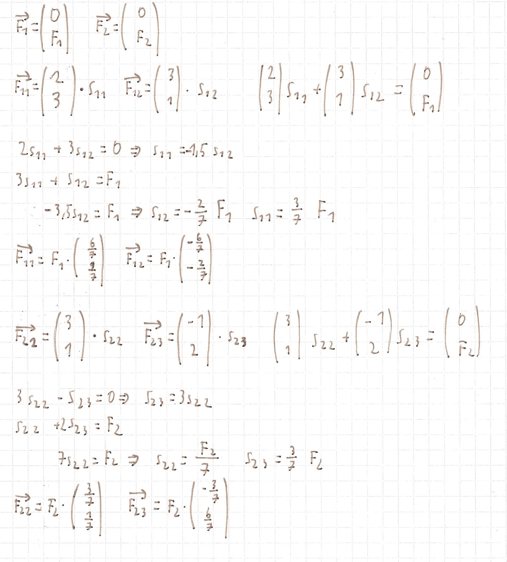
einleuchtend @osiris, aber wie kommst du auf die 6/7, 9/7 für F12 etc.?
So hab jz mal eine Vektorzerlegung gemacht.
Sollte richtig sein …

Ist vielleicht jemand so nett und läd die richtigen Ergebnisse der letzten (2UE) hier hoch. Ich habe krankheitsbedingt bei der Übung gefehlt und möchte die Übungsbeispiele gerne verstehen. Ich bin mir nicht sicher ob ich richtig gerechnet habe. ![]()
Ich komm beim letzten Beispiel bei UE 3 auf fast die gleiche Lösung wie auf dem Zettel steht weiß aber nicht wo noch mein Fehler ist!
Kann mir vlt irgendwer ders richtig hat seine Lösung hochladen?
Danke
hm, ich komm genau aufs Gleiche …
Lad mal deine Loesung hoch, hab grad keinen Scanner in der Naehe …
Ich habe die Lösungen der 2. UE als .jpg-Datein hochgeladen. (Bsp. 9 ist nicht dabei, da es schon hier hochgeladen wurde.)
Falls jemand Fragen dazu hat, bitte einfach stellen. ^^





Hier mein halbrichtiger Lösungsansatz für Bsp 16!
KAnn mir jemand helfen ihn ganz richtig zu stellen?
Danke für die Hilfe
PHUEBsp16.doc (1.38 MB)
Hi,
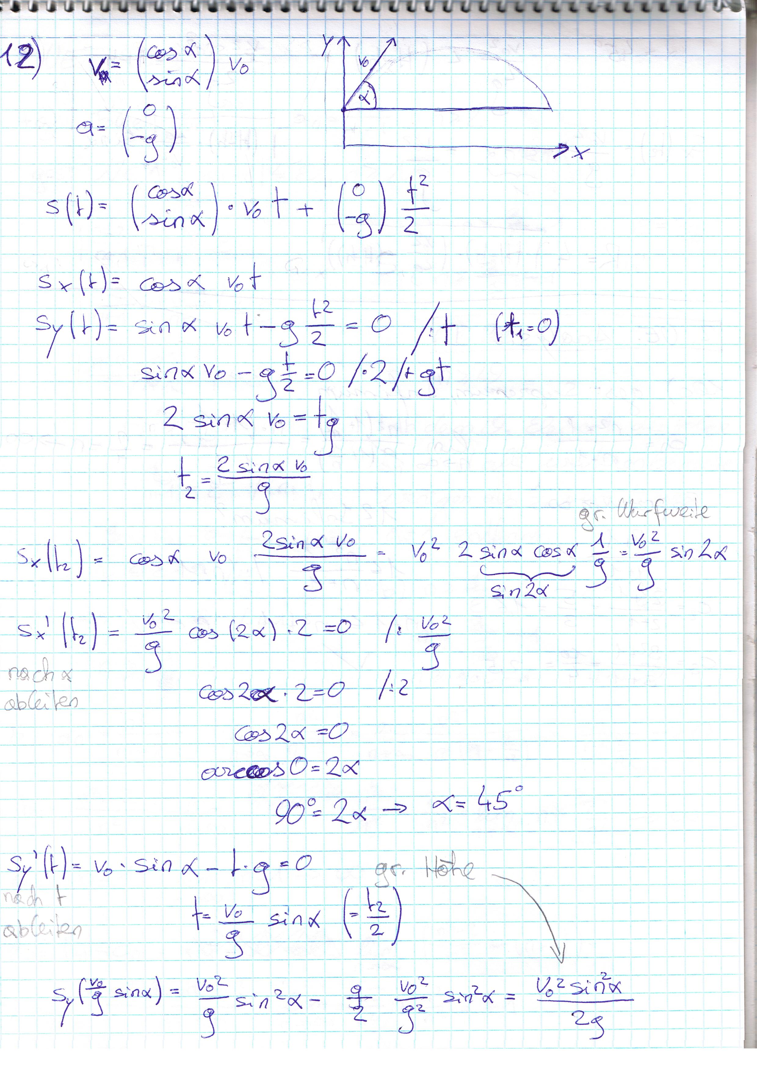
Hier meine Lösung zum Beispiel 13.
Sollte eig. richtig sein…, mir fehlt nur mehr die Auftreffgeschwindigkeit. Also die Geschwindigkeit im Punkt 3.
LG
phbsp13.pdf (1.38 MB)
Hier noch meine Lösung für Beispiel 15
Aufgabe a) fehlt noch. Ich hab zwar den Ansatz aber irgendwie kommt trotzdem nie das Richtige raus. Wäre froh wenn mir jemand helfen könnte.
phbsp15.pdf (975 KB)
und bsp 14
phbsp14.pdf (503 KB)
hm …
zu Bsp 13:
d:
y(t) = y(0) - v_{0y} * t -\frac{1}{2}gt^2
c:
den Auftreffwinkel musst du mit den Geschwindigkeiten zum Zeitpunkt des Auftreffens berechnen.
(|vx| = v0x, |vy| = v0y + g * t1, Richtung beachten)
zu Bsp. 15 a)
um welchen Drehpunkt setzt du denn die Momente an? M bzw. A laut Angabeskizze sind da glaub ich eine gute Wahl ![]()
mit rechtsdrehend als positive Richtung ergibt sich dann die Gleichung:
G1rcos(alpha) - G2rcos(alpha)-s*sin(alpha)mg = 0
Edit: bisschen Umformen auf alpha fehlt halt noch
hoffe das hilft ![]()
Hallo, ich danke erstmals für die Posts.
Zu Bsp 13 hab ich hier noch Korrekturen zu Punkt B Energieerhaltung, da die Geschwindigkeiten ja gleich sein müssen zur anderen Rechnung.
- Dach
mg(H+H_d) = mgH + 1/2 mv^2 v=\sqrt{2gh_d} mit hd=sin(\beta)*L
Ergibt 7 m/s. - Boden (Stimmt nur vielleicht-komme bei der allgemeinen Rechnung auf einen anderen Wert=21 m/s?!)
mgh + 1/2 mv^2 = 1/2 mv^2 = \sqrt{2gH+v^2} ergibt 12,13 m/s.
Zu Osiris: Kannst du bitte deine Winkelrechnung nochmal genauer ausführen, bzw. zumindest den Wert?
Danke
lg
Hallo,
Kann mir vlt jemand helfen meinen halbrichtigen Lösungsansatz richtig zu stellen? s.o.
ok, ich versuchs mal
Das Gewicht des Bretts wirkt im Schwerpunkt, also sollte die Kraft M*g in der Mitte angreifen (also etwas links von deinem F3). Diese nicht in der Summe der Momente vergessen ![]()
Soweit ich sehe hast du nur das Gewicht des Bretts dazu benutzt F1 und F2 zu beschreiben. Die hängen aber auch von m ab.
Daher:
Summe Fy = 0 → F1y + F2y+mg+Mg = 0
Summe Fx = 0 → F1x + F2x = 0
Jetzt brauchst du eig. nur mehr eine Momentengleichung, um das zu lösen. (Ich denke man kann auch mit 2 Momentengleichungen und einer der beiden obigen lösen, habs aber nicht ausprobiert)
Bei mir steht in der Lösung dann ein cos², die Funktionswerte stimmen aber überein. (War zu faul das noch weiter mit Hilfe einer Formelsammlung umzuformen
)
Ich hab außerdem einen anderen (schönen) Ansatz gefunden: Summe der Momente um den Schnittpunkt der Wirklinien von F1 und F2. Dadurch wirds (fast) ein Dreizeiler ![]()
Edit: „um den“ nicht „im“ Schnittpunkt
Ich hab auch eine frage zu 13. Ich hab für die auftrittsgeschwindigkeit die y-koordinate vom bahnvektor also y(t) = gt^2/2 + v0y*t + H (für v0y hab ich die y Koordinate der Geschwindigkeit beim Punkt 2 eingesetzt also sin(30)*v2) einfach null gesetzt und dann t ausgedrückt. Dann hab ich das t in v=gt+v0 eingesetzt. Weil das Ding ja schon vor dem Fall eine gewisse Geschwindigkeit hat… Mir kommt dann aber eine absurd hohe Geschwindigkeit (~30m/s) raus. Ist mein weg einfach falsch oder ist der denkweg ansich richtig und ich hab mich verrechnet? Ich bitte um Hilfe ![]()
Nachdem keine Angabe hochgeladen wurde kann ich nur spekulieren aber:
bei d) schaut dein v_{0y} in den Formeln in die falsche Richtung oder?
Hier mal die Angabe Nr. 3
UE03 20121108 Angabe.pdf (544 KB)
Hallo
habs jetzt mit der zusätzlichen Kraft versucht, komm aber immer noch nicht auf die richtige Lösung.
Kannst du mir vlt. deine Lösung einscannen/abfotografieren? Wäre dir echt dankbar, hab schon so viel Zeit in das Bsp reingesteckt würds gerne kreuzen können!
lg Philipp
ka obs richtig is …
