Lösungen Übungen Grundlagen der Physik 1

den draht darfst du nicht punktförmig annehmen.
die gravitationskraft wird in richtung mittelpunkt der drahtschlinge wirken. die komponenten der g-kraft die nicht entlang s wirken heben sich gegenseitig auf… =D>

Hallo erstmal.
Ich ersuche um weitere Posts von Beispielen.

Bsp 22 hab ich hier mal versucht-Keine Garantie.
Bsp22.pdf (54.7 KB)

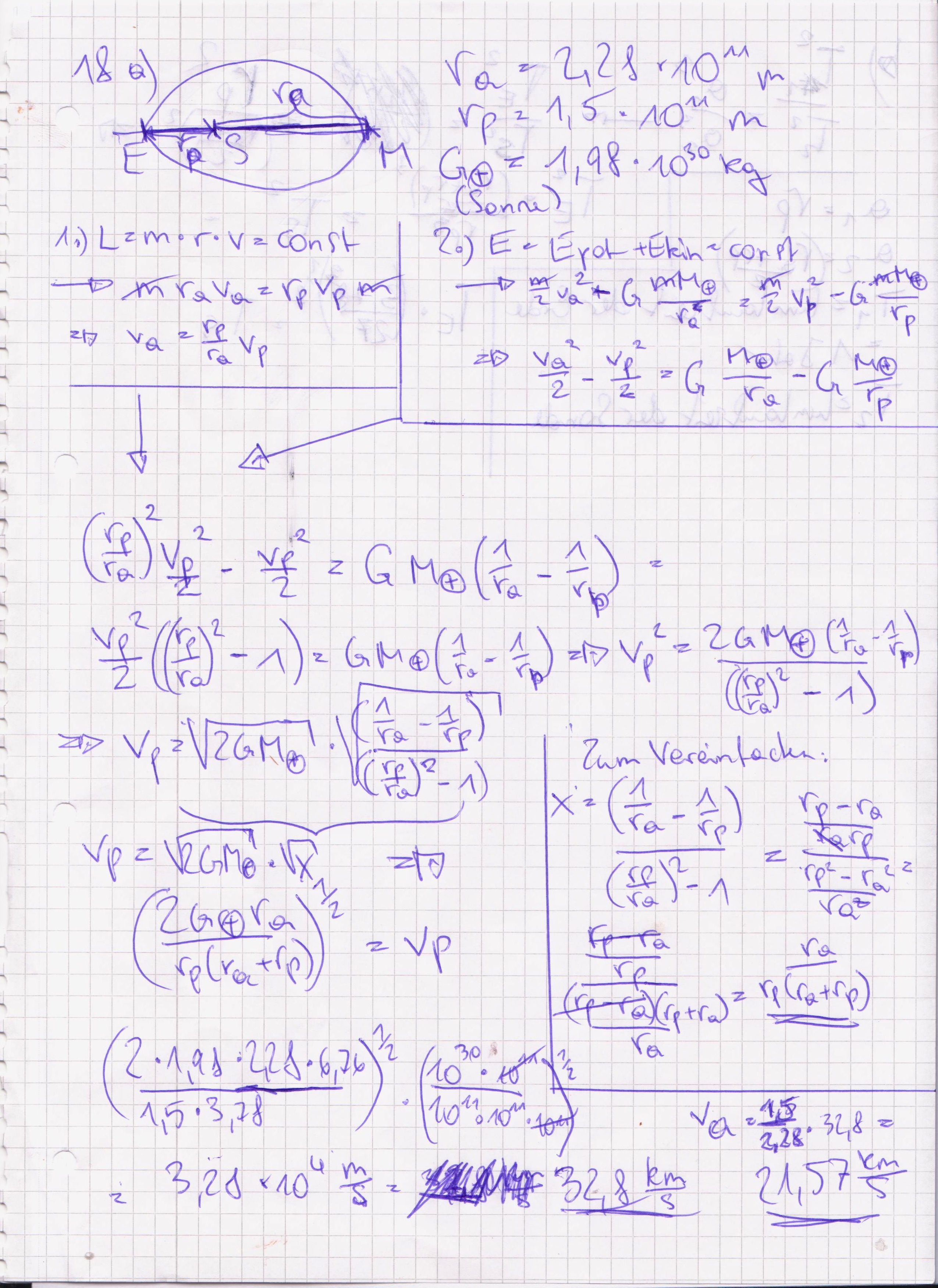
Hier mal bsp 17d,e (der rest is eh nur einsetzarbeit), 18 und 21( bei welchem ich mir allerdings noch weniger sicher bin, obs richtig is…)
und sorry für die form :'…
edit: bsp 18b sollte glaub ich eig über das 2. kepler gesetz gelöst werden, war mir dann aber zu blöd
Bsp%2018a.jpg
18b+21 001.jpg
17.jpg

@JakobM:

du hast bei 17e) am Ende nicht den Kehrwert genommen. Nicht T is 17 sondern 1/T is 17.
Und weil du das ganze schon auf Tage bezogen hast, is es also ein 17tel Tag, also ca 1,4h.
17h wär ja arg, dann würde sich der effekt auf der Erde (mit 24h umlaufzeit) ja schon so stark auswirken, dass man sich am pol (da is der effekt logischerweise nicht vorhanden) ca. doppelt so schwer fühlen würde wie am äquator.
mlg
Bruzly

@JakobM: Hast du den Wert von G ausm Demtröder? Auf Wikipedia steht nämlich ein anderer… (http://de.wikipedia.org/wiki/Gravitationskonstante)

oh ja stimmt ^^
ähm nein ich hab nen falschen wert genommen
sorry war da schon etwas müde :confused:

edit: fürs protokoll bei meiner rechnung habe ich am ende nicht die länge eines tages berechnet sondern wieviele umläufe dieser planet im zeitraum eines tages (bei uns auf der erde) macht
die lösung dieser aufgabe is also nicht 17h, sondern 1/1724h=0,0581Tag dh.: wie bruzly schon geschrieben hat, 1 „Tag“ auf diesem Planeten würde 1,4h dauern

und zu dem falschen Wert von G: ich hab das jetzt nicht nochmal mit korrigiertem wert gemacht, weil die Lösung in etwa gleich ist…

@JakobM:

bei beispiel 21 hast du für a=10 eingesetzt. du machst die berechnung aber in meter, deshalb musst du a=10cm aus der angabe natürlich in 0,1m umrechnen!
wenn man das dann einsetzt kommt man auf f=1,15 was auch mein ergebnis wäre :slight_smile:

Danke der wert is mir doch auch recht klein vorgekommen
entschuldigt bitte meine ungenauigkeit

@fragen_kostet_nix

bei Beispiel 22b, wie kommst du da auf die Winkeländerung beim Stab und der x-Achse mit -vt*γ? Das hätte dann doch die Einheit Meter? Und beim Zeitpunkt 0 wäre dann auch die Winkeländerung 0?
Ich hab mit α=arctan(v/c) gerechnet, steht im Demtröder auf Seite 100 bei so einem Minkowskidiagramm. Bin mir da aber auch nicht sicher um ehrlich zu sein.

Der Horst Ende

Ich hab den Winkel ALPHA´von S´aus gemessen so berechnet…k.a. obs stimmt…

Beispiel 22b
FORUMTPH.pdf (108 KB)

wirkt etwas zu einfach find ich, und warum beta = arctan(v/c) könnt ich auch nicht nachvollziehen…

Ich steh auf der Leitung
setzt man bei Bsp. 17a,b,c einfach in das newtonsche gravitationsgesetz ein? mich verwirrt der Bezug auf die potentielle Energie Null im unendlichen.

Bitte um Hilfe

So ist es… Hast halt dann (wie eh schon in der Angabe steht) eine negative Ep, weil du ja Arbeit hineinstecken musst um die Masse entgegen dem Gravitationsfeld zu bewegen…

Danke für die schnelle Antwort!

→ ich setze in GmM/r^2 ein.

Na, soweit ich das richtig verstanden hab, ist GMm/r² die Gravitationskraft.
Du brauchst aber die Ep = W (Arbeit), d.h. du musst GMm/r² von r - unendlich nach r integrieren.
→ Ep = GMm/r von r - unendlich → Ep = - GMm/r
(Bin mir nicht hundertpro sicher, wie das mit dem bis unendlich integrieren ausschaut, aber mein Ergebnis schaut halbwegs sinnvoll aus^^)

ich habs auch über besagtes integral gelöst.
das integrieren bis r=unendlich ist in dem fall keine schwierigkeit, da ja für diesen wert epot(unendlich) gleich 0 ist und er daher wegfällt :wink:

Hat jmd schon Bsp 20a, gelöst?
Falls ja, wäre es super nett wenn der/diejenige seinen/ihren Lösungsweg hochladen würde; ich steh da etwas auf der leitung…

Hier mal wie ich 22b) gelöst hab. Hab den Ansatz aus einem Buch. Keine Garantie, so erscheint es mir aber logisch.
22b.jpeg

Ich hab es auch so gerechnet, muss allerdings dazusagen, dass ich nicht weiß, was du in der letzten Zeile mit den tan-funktionen gemacht hast. meiner meinung nach sollte das ergebnis so aussehen:

Φ’ = arctan [tanΦ * ɣ]

lg burgerking07

@ Mezzo:

Du kürzt am Ende die Gleichung durch „tan“.
Also du hast es quasi einfach links und rechts weggelassen, aber das darfste nich machn sonnst kriegt da lehrer bauchweh!